太阳集团tcy8722一志愿复试通知

2025年03月27日 15:47  点击:[]

太阳集团tcy87222025年硕士研究生招生考试一志愿复试拟定于2025331-41日两天,复试资格审核时间331日上午7:30-9:00(护理楼205,214)。

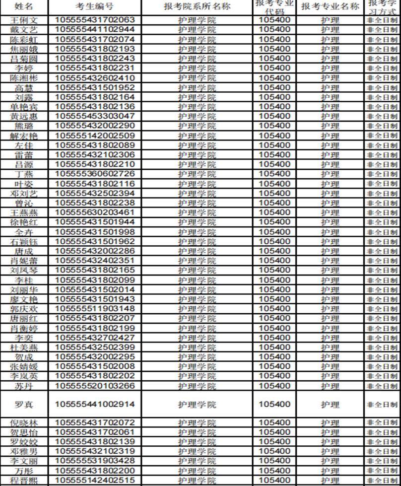
一志愿复试名单如下:

IMG_256

IMG_256

IMG_256

IMG_256

请确认参加复试的同学加入2025南华护理一志愿复试QQ群(996986069),学硕同学请以1011+姓名+电话号码进行信息发送申请进群,

专硕全日制同学以1054+姓名+电话号码进行信息发送申请进群,

专硕非全日制同学请以非全+姓名+电话号码进行信息发送申请进群。

c82c77235148750931a12626b7c7705

 

上一条:太阳集团tcy87222025年硕士研究生招生复试录取工作方案
下一条:太阳集团tcy8722追加学术型硕士研究生录取指标的通知

关闭

地址:中国 湖南 衡阳 常胜西路28号    邮编:421001

电话0734-8281344   邮箱:hulixy@usc.edu.cn

版权所有:中国·太阳集团(tcy8722官方网站)-有限公司|Macau Sun City
技术支持:恒远翼展